文章图片
文章图片
文章图片
文章图片
\">高考是人生中最重要的一场考试 , 高考决定了能上哪所大学 , 而大学决定了未来的发展 , 现在的时代没有学历寸步难行 , 上大学不再是选择题 , 而是填空题 。
这里风遇山止 , 船到岸停 ,
这里的一切都有始有终 ,
却能容纳所有不期而遇和久别重逢 。
-- 木里苏 《全球高考》
今年高考的总人数高达1078万 , 多少人在竞争一个大学名额不敢想象 , 高考看的是排名 , 每一分都尤为重要 , 可能对你来说只是马虎丢了一分 , 但这一分可能导致落后几十名 , 越是高分段 , 分数是咬的越紧 , 高考中不能小瞧每一分 。
学生们除了知识点的掌握以外 , 还要注意卷面分 , 写得一手漂亮的字能在高考中为自己加分 , 特别是想得高分的学生 , 卷面漂亮是基础 。
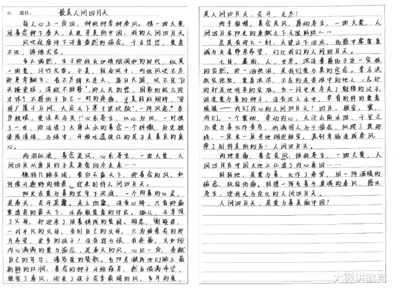
高考中的“神仙卷面” , 让人看的赏心悦目每年高考的满分作文字迹没有丑的 , 简直就是神仙打架 , 漂亮的卷面真的能让看的人赏心悦目 , 阅卷老师在看这样的卷面的时候应该也是这样想的吧 。
这篇《你我之梦 , 中国之梦》或许有的人不知道出自哪里 , 但是一定都在各大平台看见过 , 这是曾经的一篇高考满分作文 , 一经曝光后就迅速走红 。
这篇作文走红可不单单是因为文采 , 很多人是被这神仙卷面所吸引的 , 字迹工整漂亮得犹如印刷体 , 一笔一划清晰大气 , 看得人赏心悦目 , 能得满分只能说他值得!
这样工整的卷面和漂亮的字体 , 估计阅卷老师看了都不忍心扣分了 , 不过满分作文当然是需要水平的 , 作文写得好 , 字又漂亮 , 网友忍不住调侃:这谁舍得扣分 。 还有不少学生看了也连连称赞 。
高考中深受阅卷老师青睐的“神仙字体”首先要明白 , 高考中不只是语文和英语需要注重卷面 , 数学、物理等理科科目卷面同样重要 , 想象一下在一堆乱糟糟的字中 , 老师还会有心情仔细给你找得分点吗?所以各科都要注意卷面整洁 。
大小合理
有的学生的字单独看都很漂亮 , 但是放在一起看就不好看 , 字不是小的像蚂蚁就是大的出了框 。
字是达到漂亮工整的要求了 , 但是整体看起来很不和谐 , 特别是作文这样有框的答题区域 , 一定要注意字的大小要合理 , 保证每个字都写在正中间 , 这样看着更清晰 。
工整漂亮
我们常说见字如面 , 漂亮的字能给人一种如沐春风的感觉 , 很多学生也意识到了字迹漂亮的重要性 , 照着网上的网红字体练字 , 但是不建议这样做 , 像“鲸落体”“奶酪体”都不如楷书来得工整漂亮 。
有的网红字体看着是好看 , 但是不一定适合电脑阅卷 , 所以考生想练字还是以楷书为主 , 不要为了彰显个性而去追求特别 。
写楷书的时候要干净利落但是不能连笔 , 练字需要坚持 , 三分钟热度是练不好的 。
笔画清晰
有的学生觉得练字很难 , 怎么练都练不好太浪费时间 , 如果你不愿花费心思还想要卷面看起来工整 , 就必须保证笔画清晰 , 写不漂亮也没关系 。
字要一笔一划地写 , 每个字都要规整 , 不能拥挤也不能离太远 , 这样在阅卷时看起来才会清楚好分辨 。
分析:高考中每个阅卷老师要看无数张试卷 , 能停留在一张试卷的时间只有几十秒 , 阅卷老师也是很疲惫的 , 字迹漂亮、卷面整洁能在第一印象上加分 , 老师看的心情愉悦自然会给在卷面上加分 。
除此之外练好字不仅在考试中有用 , 也可以作为一技之长 , 现在有的地区小学已经增设了书法课 , 可见写一手好字的重要性 , 不少家长还会特别培养孩子的书法特长 , 如果能获得奖项在升学上也是有优势的 。
写在最后
- 春天|春山如笑人欣欣——美术经典中的春天
- 宫乐图|中华优秀传统文化系列谈丨漫谈文物中的饮食文化:从钟鸣鼎食到人间烟火
- 多元性|东西问丨文明根性特别策划(三)之五:李大龙:如何理解中华文化中的“华夷之辨”与多元性?
- 小蛮腰|3种行家眼中的“一眼假”茶,无异于喝脏水,还有不少茶客不知道
- 永定河|石景山将建净德寺遗址公园,市民家门口就能欣赏“花海中的遗址”
- 陈小华|送别!一代传奇离世,曾留下许多老广州心中的经典…
- 弼马温|《西游记》中的诗词
- 永定河|石景山将建净德寺遗址公园,邀市民体验“花海中的遗址”
- 石景山将建净德寺遗址公园,邀市民体验“花海中的遗址”
- 丁元英|丁元英为何从不与人计较,看了3遍《天道》,我才明白其中的原因